부속병원장 인사말
부속병원장
이근석
무더위 속에서도 맡은 바 소임을 다해주고 계신 부속병원 모든 직원 여러분, 안녕하세요. 부속병원장 이근석입니다.
현재 부속병원은 본관 리모델링 공사가 한창 진행 중입니다. 환자 편의와 진료 환경의 획기적인 개선을 목표로 추진되고 있는 이 사업으로 인해 많은 부서가 불가피하게 불편한 환경에서 근무하고 계십니다. 특히 본관 1층과 2층의 리모델링으로 인해 내시경실, 기능검사실, 채혈실, 영상의학과 초음파실, 원무팀 등 여러 부서가 임시로 이전하여 운영되고 있으며, 이로 인한 불편과 불균형을 묵묵히 감내하며 업무에 최선을 다해주고 계신 모든 분들께 진심으로 감사드립니다.
한편, 현재 우리나라 의료계를 둘러싼 어려운 의정 상황 속에서 병원의 진료 공백 역시 심각한 수준입니다. 야간 당직 체계에 있어서도 스태프 선생님들께서 여전히 직접 당직을 서고 계시는 실정입니다. 이에, 전담의 및 진료지원간호사 확충, 신속대응팀을 1군 체제로 상향 등으로 환자 진료의 공백을 최소화하기 위한 노력을 계속하고 있습니다.
이렇듯 어려운 여건 속에서도 우리 국민께 최고의 암치료를 제공하고자 헌신해주시는 모든 직원 여러분께 깊은 경의와 감사를 전합니다.
국립암센터 부속병원은 최상의 치료를 제공하기 위해 양한광 원장님 취임 이후 지속적으로 최신 의료장비를 도입하고 있습니다.
• 다빈치 SP 로봇수술기는 좁은 공간에서도 단일 절개를 통한 정밀한 수술이 가능하다는 장점을 바탕으로, 다양한 분야에서 보다 안전하고 정교한 수술을 실현하고 있습니다.
• 무표식 표면유도 방사선치료기는 신의료기술로서, 환자의 체표를 실시간 추적하여 보다 정확한 방사선 치료를 가능하게 하며, 치료 중 불필요한 조직 손상을 최소화할 수 있습니다.
• 아울러, 폐암 진단 및 치료의 패러다임을 바꾸어 나갈 혁신 기술인 로봇 기관지내시경 (Robotic-Assisted Bronchoscopy, ION®)을 국내 최초로 도입하여, 환자 맞춤형 정밀진단 및 치료 체계를 한층 고도화하였습니다.
이처럼 최상의 의료진과 첨단 장비를 갖춘 부속병원은 앞으로도 우리나라 암치료의 중심병원으로서 우리 국민들께 보다 정밀하고 신뢰할 수 있는 의료서비스를 제공할 것입니다.
하지만, 아무리 우수한 의료기술과 장비가 갖추어져 있더라도, 결국 국민의 마음을 움직이는 병원, 진심이 전해지는 병원이 되어야만 우리의 노력이 진정한 결실을 맺을 수 있다고 생각합니다.
다가오는 2025년 8월부터 12월까지 실시될 건강보험심사평가원의 환자경험평가는 우리 병원이 진료의 질뿐만 아니라 환자와의 소통, 공감, 배려에 있어서도 얼마나 성숙한 문화를 지니고 있는지를 보여줄 중요한 계기가 될 것입니다. 병원을 찾는 모든 국민들께서 우리 병원의 진심을 체감하실 수 있도록, 모든 직원 여러분의 지속적인 관심과 노력을 부탁드립니다.
감사합니다.
국립암센터 부속병원장 이근석
국립암센터 강현귀 교수, 대한3D프린팅융합의료학회 이사장 취임
- 3D 프린팅 융합 기술 기반 임상 적용, 의료기기 개발 등 활성화 기대 -
희귀암센터
강현귀 교수
국립암센터 희귀암센터 강현귀 교수(희귀암센터, 정형외과)가 대한3D프린팅융합의료학회 이사장에 취임한다.
임기는 2025년 5월 26일부터 이다.
대한3D프린팅융합의료학회는 3D 프린팅 산업 기술을 의료에 적용하고자 출범한 산·학·연·병·정 융합의 장으로서 3D 프린팅 융합 기술에 의한 맞춤형 의료기기 개발 및 기술의 임상 적용, 인재 육성, 유관 산업 활성화 등을 목표로 운영되고 있다.
국립암센터 희귀암센터 강현귀 신임 이사장은 근골격 종양 분야의 권위자로 3D 프린팅 환자 맞춤형 골재건 수술을 선도해 골종양 환자들뿐만 아니라 외상 후 난치성 골절 후유증 환자들에게 새로운 치료 기회를 제공하고 있다. 또한, 골전이암 최소침습 수술법의 개발로 말기암 환자들의 삶의 질 향상에 기여해왔다.
강현귀 신임 이사장은 “의료의 수기는 오랜 시간 배움과 연마가 필요한데 과거와 달리 힘든 수술 영역에 지원하는 의사가 부족해 우려가 크다”라면서 “이러한 상황에서 의사간의 수술 편차를 줄일 수 있는 것이 바로 첨단 기술의 활용이며 그 중심에 있는 대한3D프린팅융합의료학회의 이사장으로 취임해 뜻깊다”라고 소감을 밝혔다. 이어 “이사장으로서 3D 프린팅 융합 기술의 활성화 방안을 다각도로 모색하고 국민의 건강과 삶의 질 향상에 기여하도록 노력하겠다”라고 덧붙였다.
국립암센터, 소아청소년암 생존자와 가족을 위한 ‘암생존자 주간’ 기념행사 개최


국립암센터 암생존자통합지지실 소아청소년팀은 6월 2일(월), ‘암생존자 주간’을 맞아 소아청소년암 생존자와 가족을 위한 기념행사를 개최했다고 밝혔다.
이번 행사는 소아청소년암 생존자들이 겪는 다양한 어려움을 스스로 극복할 수 있도록 자기관리 능력과 자아존중감 향상을 통합적으로 지원함으로써, 건강 증진과 사회적 기능 복귀를 도모하고자 마련되었다.
기념행사는 ▲그림 공모전 시상식 ▲장기자랑 ▲선배 생존자와의 멘토링 토크 등으로 구성되었으며, 생존자들의 암 극복을 축하하고 건강한 생활습관 형성 및 일상 복귀를 응원하는 뜻깊은 자리로 진행되었다.
장기자랑 순서에서는 국립암센터 병원학교 학생들로 구성된 ‘K-폴대팀’이 밝고 희망찬 분위기의 특별 공연을 펼쳤으며, 소아청소년암 생존자들로 구성된 한국백혈병소아암협회 ‘캔틴스쿨’ 합창단의 자작곡 ‘당연한 하루’를 통해 깊은 감동과 울림을 전했다.
선배 생존자와의 멘토링 토크 시간에는 대학 진학, 취업, 결혼 등 각 발달과업을 경험한 연령별 멘토들이 참여해 치료 중인 환자들과 직접 소통했다. 참석자들은 진로, 대인관계 등 실질적인 질문을 쏟아냈고, 멘토들은 진심 어린 답변과 현실적인 조언, 그리고 희망의 메시지를 전달해 큰 호응을 얻었다.
박현진 소아청소년암센터장은 “이번 행사가 소아청소년암 생존자들에게 용기와 자긍심을 심어주는 계기가 되길 바란다”면서, “국립암센터는 앞으로도 생존자들의 건강한 성장을 위한 통합지지서비스를 지속적으로 강화해 나가겠다”라고 밝혔다.
한편, 주간행사의 일환으로 진행된 그림 공모전은 ‘건강 10계명’을 주제로 환자, 가족, 그리고 병원 내 직원들이 함께 참여해 건강한 삶에 대한 다양한 시선과 메시지를 담은 작품들이 출품되었다. 특히, 소아청소년 환자들의 순수한 상상력과 건강한 삶에 대한 다짐이 담긴 작품들은 많은 이들에게 깊은 인상을 주었으며, 우수작은 6월 30일(월)까지 국립암센터 병원 내에 전시될 예정이다.
국립암센터는 2019년부터 소아청소년암 생존자와 가족의 신체·정신적 건강 증진과 학교 복귀 등 건강한 사회 기능 복귀를 돕기 위해 ‘암생존자통합지지사업’을 운영하고 있다. 이 사업은 여러 분야의 전문가들이 협력하여 암 치료 후 발생할 수 있는 신체적·심리적·사회적 문제를 파악하고, 이를 해결하기 위한 상담, 교육, 다학제 클리닉 및 지역사회 연계 등의 다양한 서비스를 통합적으로 제공하고 있다.
양한광 국립암센터 원장은 “국가암관리정책은 암 치료를 넘어, 생존자 한사람 한 사람의 삶의 질을 향상시키고, 일상으로의 복귀를 돕는 것이 국가 암관리의 중요한 과제”라며, “국립암센터는 앞으로도 소아청소년암 생존자들이 건강하게 성장하고 사회의 일원으로 당당히 자리매김할 수 있도록 현장 중심의 통합지지체계를 지속적으로 확장·강화하여 선도적으로 운영해 나가겠다”고 강조했다.
국립암센터, 외래기반 ‘통원치료센터’신설
- 총 119병상 규모, 항암치료부터 시술까지 원스톱 통원치료 제공 -

국립암센터는 외래기반 통합치료 공간인 통원치료센터(제1주사실, 제2주사실, 항암낮병동, 시술낮병동)를 병원동 본관 5층에 새롭게 신설하고, 3월 31일(월)부터 본격적인 운영에 들어갔다고 밝혔다.
신설된 통원치료센터는 제1주사실(61병상), 제2주사실(6병상), 항암낮병동(41병상), 시술낮병동(11병상)으로 구성되어, 총 119병상 규모이며, 이는 국립암센터 총 입원 병상(536병상)의 약 22%에 해당한다.
통원치료센터는 외래에서 처방한 항암치료, 기타 주사치료, 외래처치 및 시술, 장루용품 지급 등을 전담하는 전문 치료 공간으로, 기존에 입원하여 시행하던 치료들을 외래기반으로 전환함으로써 환자들의 치료접근성과 편의성을 크게 향상시켰다.
특히, 낮병동 및 예약시스템을 도입하여, 환자들이 낮에는 병원에서 치료를 받고, 밤에는 가정에서 안정을 취할 수 있도록 함으로써, 치료의 연속성과 삶의 질을 동시에 확보할 수 있게 했다. 또한, 층간 이동 없이 한 층(5층)에서 치료, 수납, 귀가까지 원스톱으로 이뤄질 수 있도록 창구를 마련해 서비스를 제공함으로써 환자 중심의 편의성이 한층 강화됐다. 치료 중 부작용 발생율이 높은 항암요법의 경우, 항암낮병동을 통해 부작용을 효과적으로 관리하고 치료가 중단되는 상황을 최소화했으며, 단기 입원을 통해 환자의 경제적·심리적 부담을 줄이고 치료 만족도를 높였다.
이와 함께, 새벽부터 병원을 찾는 환자들의 불안과 대기 시간 문제를 해소하고자 ‘사전 예약제’를 도입하여, 환자들이 불필요한 대기 없이 효율적으로 시간을 관리 할 수 있도록 했다.
양한광 국립암센터 원장은 “통원치료센터는 고통스러운 치료 과정을 겪는 환자들이 보다 안전하고 편안한 환경에서 치료에 집중할 수 있도록 돕는데 의미가 있다”며, “앞으로도 환자 중심의 진료체계를 통해 공공의료기관으로서의 책임과 역할을 다하겠다”고 밝혔다.
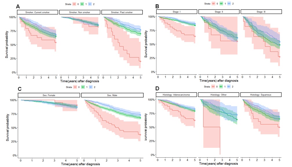
국립암센터 장보윤 보건의료정보관리사, 이상원 연구원 2025 NCRA 학술대회 포스터 발표 최우수상 수상
– 비소세포폐암 생존율과 체질량지수(BMI) 관계 분석 연구 성과 인정받아 –
장보윤
보건의료정보관리사
이상원 연구원
암빅데이터센터 데이터구축팀
국립암센터는 최근 올랜도에서 열린 「2025 미국암등록사협회 (National Cancer Registrars Association, NCRA) 연례 학술대회」에서, 의료정보관리실 소속 장보윤 보건의료정보관리사와 암빅데이터센터 데이터구축팀 이상원 연구원이 포스터 발표 부문 최우수상(First Prize)을 수상했다고 밝혔다.
NCRA 연례 학술대회(Annual Educational Conference)는 매년 미국에서 개최되는 권위 있는 학술 행사로, 암등록 분야 전문가들이 최신 연구 성과와 실무 지침을 공유하며 전문성과 암 데이터의 품질 향상을 도모하는 자리이다. 올해 학회는 지난 5월 초 미국 플로리다주 올랜도에서 열렸다.
장보윤 보건의료정보관리사와 이상원 연구원은 ‘비소세포폐암 수술환자의 진단 시 체질량지수에 따른 생존율 비교 (A comparative analysis of survival based on Body Mass Index at diagnosis in Non-Small Cell Lung Cancer patients)’를 주제로 포스터를 발표했다. 이번 연구는 중앙암등록본부에 등록된 전체 폐암 발생자 중 10%의 확률표본을 추출하여 후향적 의무기록조사를 통해 수집한 폐암병기조사자료를 바탕으로 분석한 것이다. 특히, 보건의료정보관리사가 수집 및 입력한 데이터를 활용했다는 점에서 그 의의가 크다.
연구팀은 전체 폐암의 약 80~85%를 차지하고 재발 가능성이 높은 비소세포폐암(NSCLC) 환자 중 수술받은 환자를 대상으로, 진단 시 체질량 지수(BMI)가 5년 생존율에 미치는 영향을 분석했다. 이번 분석을 통해, 체질량지수가 환자의 장기 생존에 중요한 인자임을 확인하였다. 또한, 폐암 환자가 비만 상태일수록 생존율이 높아지는 ‘비만역설(Obesity Paradox)’ 현상이 관찰되었다. 전반적으로, 과체중 또는 비만 그룹이 정상체중 그룹과 저체중 그룹에 비해 전체 생존율(OS)이 높았다. 폐암 병기(1기, 3기)와 흡연력(현재·과거) 하위군에서도 이와 같은 비만역설이 관찰되었다.

흡연력, TNM 병기, 성별, 조직학적 진단명에 따른 BMI 그룹의 전체 5년 생존율
(BMI 그룹 0-저체중, 1-정상체중, 2-과체중/비만)
앞으로 연구팀은 정밀한 통계 분석과 인공지능 모델을 개발을 통해 암 환자의 생존과 연관된 다양한 인자들을 추가적으로 확인할 계획이다. 체질량지수를 중심으로 비소세포폐암(NSCLC) 환자의 예후에 어떤 영향을 미치는지를 심층적으로 평가함으로써, 환자 맞춤형 치료 전략 수립에 기여하고자 한다.
국립암센터, 암성 통증 인식 함양을 위한 2025 통증 캠페인 개최
- 암성 통증, 조절할 수 있습니다! -
국립암센터는 5월 26일(월)부터 30일(금)까지‘암성 통증, 조절할 수 있습니다!’라는 주제로 ‘2025 통증 캠페인’을 개최한다고 밝혔다.
이번 캠페인은 국립암센터 호스피스완화의료실과 소아청소년 완화의료팀이 공동 주관하며, 통증캠페인은 국민들에게 암성 통증과 마약성 진통제에 대한 올바른 정보를 제공하고 암성 통증 조절의 중요성에 대한 인식을 높이기 위해 매년 실시되고 있다.
캠페인 기간 동안 국립암센터는 ▲환자, 보호자 및 내원객을 위한 암성 통증 인식 함양 교육자료 전시 ▲임직원 대상 암성통증 조절에 관한 온라인 퀴즈 이벤트 ▲홍보 부스 운영 및 각종 홍보물 배포 ▲소아청소년암 환자 및 보호자를 위한 통증 교육과 보호자 힐링 프로그램 등 다양한 활동을 진행할 예정이다.
캠페인 진행을 맡은 국립암센터 호스피스완화의료실 박소정 실장은 “암성 통증은 암환자가 가장 흔히 겪는 증상이며, 마약성 진통제를 포함한 적절한 약물치료와 전문가의 다학제적 접근으로 대부분 조절할 수 있다. 그럼에도 불구하고 진통제에 대한 불필요한 두려움과 오해로 통증을 참는 환자들이 많다.”라며 “이번 통증캠페인은 그러한 인식을 바꾸기 위한 노력이다. 의료진뿐만 아니라 환자와 가족 모두가 ‘통증은 참는 것이 아니라 치료할 수 있는 것’임을 인식하고, 이를 통해 암환자의 삶의 질이 향상되기를 기대한다.”라고 밝혔다.
또한, 국립암센터 소아청소년완화의료팀 박미림 팀장은 “소아청소년암 환자들이 치료과정에서 겪는 통증을 줄이고, 보다 편안한 환경에서 치료받을 수 있도록 지원하는 것이 이번 캠페인의 목표”라며, “치료 여정에서 마주하는 다양한 어려움을 함께 나누며, 그 시간이 덜 외롭고 더 따뜻하게 느낄 수 있도록 항상 곁에서 함께하겠다.”고 전했다.
한편, 국립암센터는 2017년 중앙호스피스센터로 지정된 이후, 호스피스·완화의료 분야에서 중추적 역할을 수행하고 있으며, 입원형·가정형·자문형 호스피스 전문기관이자 소아청소년완화의료기관으로서 말기암 및 소아청소년 중증질환 환자 및 가족의 삶의 질 향상에 기여하고 있다.
국립암센터, 폐암 진단을 위한 최첨단 ‘로봇 기관지 내시경’ 도입
- 로봇 기술로 폐암 조직검사의 한계를 넘어선다 -
국립암센터가 폐암 진단에 혁신을 가져올 ‘로봇 기관지내시경(Robotic-Assisted Bronchoscopy, ION®)’을 도입한다고 밝혔다. 국립암센터는 향후 본 장비를 활용하여 기존 방법으로 접근이 어려웠던 폐 병변에 대해 보다 정확한 조직검사를 가능하게 하여 폐암 진단과 치료 방침 결정에 중요한 전환점을 마련할 것으로 기대한다고 밝혔다.
로봇 기관지내시경은 병변의 위치나 크기에 관계없이 폐의 복잡한 기관지 구조를 정밀하게 추적해 표적 부위에 안정적으로 도달할 수 있도록 설계된 고정밀 로봇 내비게이션 기반 진단 장비다. 기존 기관지내시경으로는 접근이 어려운 폐 깊숙한 부위까지 효과적으로 탐색할 수 있어, 조직검사의 정확도와 진단율을 크게 향상시킬 수 있다.
국립암센터 황보빈 교수(호흡기내과 분과장)는 “국립암센터는 지난 2005년 국내 최초로 초음파 기관지내시경(EBUS)을 도입해 폐암 진단과 병기 결정의 발전을 이끌어 왔다”며, “이번 로봇 기관지내시경 도입 역시 폐암 진단의 새로운 방향을 제시할 수 있을 것으로 기대한다”고 강조했다.
또한, 말초 폐암 진단의 전문가인 국립암센터 정현성 교수(호흡기내과)는 기존 조직검사 방법으로 진단이 어려운 폐 결절의 진단 뿐 아니라, 작은 폐암의 수술 범위 결정, 방사선 치료와의 연계, 전이성 폐암의 진단 등 다양한 분야에서 로봇 기관지내시경의 활용 가능성을 높이 평가하고 있다. 이와 관련한 평가 연구도 진행될 예정이며, 임상 적용은 2025년 6월부터 시작될 계획이다.
국립암센터 양한광 원장은 “폐암은 조기 진단이 어려운 암종 중 하나로, 국립암센터는 국가암검진사업을 통해 폐암 조기 검진에 주도적인 역할을 해왔다”며, “저선량 흉부 CT를 이용한 조기 검진을 통해 폐암이 의심되는 결절이 많이 발견되고 있지만, 조직 검사를 통한 확진에는 여전히 어려움이 있었다. 이번 로봇 기관지내시경 도입은 이러한 진단적 난제를 극복할 수 있는 중요한 전환점이 될 것이며, 폐암의 조기 진단과 조기 치료의 지평을 넓히는 계기가 될 것”이라고 밝혔다. 또한 “앞으로도 국립암센터에서는 고가최신장비의 치료성적에 미치는 영향을 검증하여 국내 의료기관들의 도입에 참고가 될수 있도록 하겠다”고 강조했다.
본 기술은 국립암센터와 울산대학병원이 국내 최초로 도입하게 되며, 폐암 진단의 정밀도를 한층 높이고 환자 맞춤형 치료로 이어지는 정밀의료 실현에 더욱 가까워질 전망이다.
대한전립선학회 정재영 신임 회장 취임
비뇨기암센터장
정재영
국립암센터 정재영 교수가 지난 3월 대한전립선학회 신임 제15대 회장에 취임했다. 임기는 2년간이다.
정재영 회장은 본지와 단독으로 만난 자리에서 초고령화 사회 진입에 따른 전립선 질환의 중요성을 강조했다.
와 함께 임기 중 추진할 주요 내용에 대해서도 제시했다.
◆ 국내 전립선암 남성암 2위로 발생 증가세…학회 역할 확대
정 회장은 우선 학회의 역할 확대 필요성을 강조했다.
정 회장은 “대한민국이 초고령화 사회로 빠르게 진입함에 따라 전립선암을 비롯한 전립선 질환의 중요성이 날로 높아지고 있다”며, “실제 2022년 국내 남성암 발생 순위에서 전립선암 2위로 가파른 증가세를 보이고 있으며, 전립선비대증과 전립선염 환자 수도 꾸준히 증가하고 있어 전문 학회의 대응이 중요한 시점”이라고 밝혔다.
◆ 학술 성과와 국제 위상 강화 추진
이어 국제적 교류 확대와 최신 치료기법 공유를 통해 학회 위상을 높인다는 방침이다.
이와 관련해 대만, 일본, 인도네시아, 호주 등의 아시아지역 대표들을 초청해서 국제공동연구 추진을 위한 논의도 진행한다는 계획이다.
정 회장은 “전립선암과 관련해 국내는 물론 일본의 전립선암 레지스트리(J-CaP), 아시아 전립선암 레지스트리 (A-CaP) 등도 함께 활용한 연구를 진행하는 것은 물론 다국적제약회사들이 공식적으로 지원하는 연구들도 추진해 국제적인 연구를 더욱 활성화 할 수 있도록 노력할 것이다”고 설명했다.
이어 “대한전립선학회 공식학회지 ‘Prostate International’(IF 2.7)의 IF를 더 높일 수 있도록 우수한 논문 투고를 지향하고 이를 위해 국제적인 교류와 협력도 확대해 나가겠다”고 덧붙였다.
◆ 미래지향적 학회 활동
미래지향적 학회 활동을 위한 노력도 제시했다.
정 회장은 “대한전립선학회가 추구해 온 전통과 가치를 더욱 공고히 하면서도, 새로운 시대의 요구에 부응할 수 있는 미래지향적 활동을 펼쳐 나가겠다”며, “변화하는 의료환경에서 회원들의 지혜와 열정을 모아 전립선암과 전립선비대증 등 전립선관련 질환으로 고통받는 환자들에게 최적의 치료와 희망을 제시하겠다”고 강조했다.
이어 “앞으로도 학문적 발전과 함께 전립선 질환 전반의 최신 지견과 치료 기법을 공유하고자 국제적 교류와 협력을 한층 강화하겠다”고 덧붙였다.
국립암센터, 비뇨기암센터 정재영 교수, 로봇보조근치적전립선절제술(RALP) 2,000례 달성
- 국립암센터 비뇨기암센터, 전립선암 수술의 새 이정표 제시 -
비뇨기암센터장
정재영
국립암센터 비뇨기암센터 정재영 교수가 6월 20일(금), 전립선암 로봇수술(Robot-Assisted Laparoscopic Prostatectomy, 이하 RALP) 3건을 예정대로 집도하며 단일 시술자로서 누적 2,000례라는 뜻깊은 기록을 세웠다.
정재영 교수는 2009년 12월 첫 전립선암 로봇수술(RALP)을 집도한 이후, 2021년 10월 기준으로 1,000례를 달성했고, 이후 약 3년 8개월 만에 2,000례에 도달했다. 이는 국내 단일 기관·단일 집도의 기준으로 손꼽히는 성과로, 전립선암 수술 분야에서 국립암센터의 임상 전문성과 기술력을 대내외적으로 입증하는 계기가 되었다.
국내 500병상급 병원중에서는 물론, 공공의료기관으로서는 유례가 없는 기록으로, 국립암센터의 임상 역량과 전립선암 치료 분야에서의 선도적 입지를 다시 한번 입증하는 계기가 됐다.
전립선은 남성 골반 깊숙이 위치해 개복수술 시 출혈이나 합병증 위험이 높은 부위로, 고난도 수술이 요구된다. 로봇수술은 정교한 로봇 팔과 10배 이상 확대된 시야를 통해 신경 보전, 요실금 회복 등 기능 보존 측면에서 우수한 효과를 보이는 첨단 치료법이다.
정재영 교수는 초기 전립선암 환자를 위한 로봇수술 뿐만 아니라 방사선 치료 후 재발성, 3기 이상의 진행된 환자에서도 고난도의 로봇수술을 적용하고 있다. 특히, 수술 후 요실금, 발기부전 등 부작용을 최소화하기 위해 신경보전술을 적극 시행하고 있으며, 고위험 환자군에서도 우수한 수술 성과를 거두고 있다. 또한 미국과 일본의 유수 기관과 협력해 전이성 전립선암 환자를 대상으로 로봇수술의 유용성을 검증하는 전향적 임상 연구도 활발히 수행 중이다. 수술 후 항암 또는 호르몬 치료가 필요한 환자에게는 다학제 협진을 통해 최적의 치료를 제공하며, 초기 전립선암은 물론 국소진행성 및 고위험군 환자에게도 로봇수술을 적극적으로 진행한다. 특히, 진행성 전립선암 환자를 위한 글로벌 임상시험을 다수 주도하며, 국내 전립선암 치료의 학문적·임상적 발전에도 크게 기여하고 있다. 현재 정재영 교수의 로봇수술 시행률은 전체 전립선암 수술의 98% 이상을 차지할 만큼 높은 수준이며, 진행성 전립선암 환자를 포함해 로봇수술 후 100일 이내 응급실 내원하는 수술 관련 합병증 발생은 2% 미만으로 매우 낮다. 또한, 국제 임상 연구 중인 전이암 환자에서도 로봇수술을 포함하여 다학제 접근으로 92%의 우수한 5년 생존율을 보이고 있다.
한편, 정재영 교수는 대한전립선학회 회장으로서 국내 전립선암 로봇수술 분야의 임상 술기 표준화와 학문적 발전을 선도하고 있다. 다학제 협진을 통한 치료성과 향상 뿐만 아니라, 후학 양성과 학술 활동에도 적극적으로 참여하며 차세대 의료인재 양성에도 힘쓰고 있다.
정재영 교수는 “2,000례를 달성할 수 있었던 것은 국립암센터 의료진의 팀워크와 무엇보다 환자들의 신뢰 덕분”이라며, “앞으로도 환자 중심의 정밀의료를 실현하며 환자의 부담과 두려움을 줄이고, 치료 성과를 넘어 치료 이후의 삶의 질 향상까지 도모할 수 있도록 최선을 다하겠다”고 소감을 전했다.
국립암센터는 비뇨기암 분야에서 MR-fusion을 이용한 진단, 수술, 양성자치료, 호르몬치료, 방사선동위원소 치료 및 최신의 표적 치료 및 재활에 이르기까지 전주기 치료 시스템을 갖추고 있으며, 이러한 인프라를 바탕으로 다양한 신약을 적용하는 임상시험을 제공함으로써 환자 맞춤형 정밀의료와 다학제 진료 기반의 통합 치료를 제공 중이다.
최근에는 단일공 수술로봇을 도입하여 현재 세 대의 다빈치 로봇수술기를 운영 중이며, 새롭게 도입한 단일공 로봇수술 장비와 기존 장비 간의 비교 임상연구를 계획하여 새로운 장비를 이용한 수술의 유용성을 확인하고자 한다. 또한, 비뇨기암 외에도 부인암, 간담도췌장암, 갑상선암, 유방암, 대장암, 폐암 등 다양한 암종에 로봇수술을 확대 적용하며, 환자 맞춤형 정밀 수술과 치료 효과 향상을 목표로 차별화된 의료 서비스를 제공하고자 노력하고 있다.
국립암센터, 2025년 ‘리본(ReːBorn) 스타트 업(UP) 프로젝트’ 공모사업 개최
- 암경험자 사회적경제조직 발굴 및 육성 통해 암경험자 돌봄 및 자립 활동 지원 -

국립암센터는(원장 양한광) 암경험자의 돌봄 및 자립 활동을 지원하기 위해 2025년「리본(ReːBorn)스타트 업(UP) 프로젝트」공모사업을 진행한다.
‘리본(ReːBorn)’은 암을 경험한 이들이 다시 사회로 나아가는 새로운 출발을 의미하며, 이번 사업은 암경험자로 구성된 사회적경제조직을 발굴하고 기존 암경험자 사회적경제조직을 체계적으로 육성하여 이들의 돌봄 및 자립 활동 촉진에 목적이 있다.
이번 공모사업은 암경험자 본인이 대표이거나 구성원의 50% 이상이 암경험자인 사회적경제조직을 대상으로 하며, 총 7개 조직(기존 조직 5곳, 창업 예정 조직 2곳)을 선정한다. 선정된 조직에는 심사를 거쳐 사업비가 차등 지원되며, 기존 조직에는 최대 1천만 원, 창업 예정인 조직에는 최대 5백만 원까지 지원된다.
서류 접수는 오는 5월 22일(목) 16시까지 이메일(min4675@ncc.re.kr)을 통해 진행된다. 이후 1.5배수 내외의 대면심사 대상자를 선정하며, 5월 말 서면심사와 6월초 대면심사를 통해 최종 선정한다. 선정된 조직은 6월부터 12월까지 약 7개월간 사업을 수행하며, 이후 성과발표회를 통해 최종 성과를 공유하게 된다.
양한광 국립암센터 원장은“이번 공모사업을 통해 암경험자들이 자신의 경험을 기반으로 돌봄 및 자립 활동을 능등적으로 수행할 수 있는 계기가 되기를 바란다”며 “국립암센터는 앞으로도 공공기관으로서 사회적 가치의 제고와 암경험자의 사회복귀에 지속적으로 노력하겠다”고 밝혔다.
본 사업 관련 공고문은 국립암센터 홈페이지(알림마당>기타공지) 에 게시되어 있으며, 자세한 내용은 이메일(min4675@ncc.re.kr) 또는 국립암센터 공공의료사업팀(031-920-0463 / 0549)으로 문의하면 된다.
암경험자 사회복귀 지원 및 지역 네트워크 활성화를 위한 2025년 리본(ReːBorn) 마켓 개최
- 국립암센터에서 6월 9일~13일 열려…지속가능한 사회복귀 지원 역할 기대 -


국립암센터가 6월 암생존자 주간을 맞이하여 6월 9일(월)부터 13일(금)까지 5일간 국립암센터 신관 옆 야외공간에서 ‘암환자 사회복귀 지원 및 지역 네트워크 활성화를 위한 2025년 리본(ReːBorn) 마켓’을 개최한다.
‘리본(ReːBorn) 마켓’은 행사 기간 내내 오전 10시부터 오후 5시까지 개최되며, 암경험자 창업 기업의 참여를 통해 사회적 가치 창출하고, 고양시 소재 기업 및 소상공인이 참여하여 지역 경제를 활성화한다.
참가업체는 암경험자 창업기업인 사회적협동조합 다시시작(비누 4종, 사진, 공예), 모카상점(수세미, 애착인형, 키링), 라우라픽(네컷사진, 사진엽서, 아트포스터) 등이며, 고양시 소재 기업 및 소상공인인 ㈜리디아알앤씨(브랜드 헬렌스타인), 굿윌스토어, 고양슬로푸드, 고양도시네트워크, 고양여성상공회의소, 재미공작소(보넷길 플리마켓) 등 총 24개 업체가 참가한다.
참가업체는 국립암센터 내원객 및 임직원, 그리고 지역주민을 대상으로 환우들의 건강을 챙기고 다양한 연령 층의 관심을 끌 수 있는 생활용품, 침구류, 디저트, 농산물, 지역 특산물 등의 품목들을 판매할 예정이다.
또한, 이번 리본 마켓에서 발생한 수익금은 재단법인 국립암센터 발전기금에 총 매출액의 10%를 기부하여 암환자를 위한 다양한 활동에 사용될 예정이다.
국립암센터 양한광 원장은“이번 리본(ReːBorn) 마켓은 지역사회와 협력하여 암경험자들의 사회복귀를 지원하는 뜻깊은 행사”라며“이번 행사를 통해 암경험자들이 만든 창업 기업들의 판매를 돕고, 지역사회 기업과 협력하는 등 국립암센터가 지속적으로 추진하는 사회적 기업의 가치를 확인하게 될 것”이라고 말했다.
한편, 국립암센터는 2020년부터 암환자에 대한 창업 및 일자리 활동 지원, 메이커 스페이스를 통한 창작 활동 지원, 사회복귀 프로그램 운영 등 암환자의 사회복귀를 위한 다양한 활동을 지원하고 있다.
국립암센터, 암경험자의 사회복귀를 돕는 ‘리본(ReːBorn) 스타트업’ 6개 프로젝트 최종 선정

국립암센터는 암경험자의 사회복귀와 자립 활동을 지원하기 위한 『2025년 리본(ReːBorn) 스타트업(UP) 프로젝트』공모를 통해 총 6개의 프로젝트를 최종 선정했다고 밝혔다.
이번 공모사업은 기존 및 창업 예정인 사회적경제조직을 대상으로 진행되었으며, 암경험자를 중심으로 한 프로젝트를 발굴하고 체계적으로 육성하여 암경험자의 돌봄 및 자립 활동을 촉진하고자 마련되었다.
대상사업 선정은 서면 및 대면심사를 통해 이뤄졌으며, ▲인큐베이팅센터 운영 및 힐링그림책 앱을 개발하는‘공감 사회적협동조합’▲암환자 낙상 방지용 병상 수납 파우치를 개발하는 사회적기업‘㈜박피디와황배우’▲암경험자 주체 제품을 기획 및 판매하는‘캔드림협동조합’▲암경험자 루틴 회복 키트를 제공하는 사회적기업‘㈜담심포’등 기존 사업에서 총 4개 업체가 선정되었다.
또한, 창업 예정인 신규 프로젝트로는 ▲암환자 맞춤형 경제활동 플랫폼을 통한 사회복귀를 지원하는‘암히어로’▲건강취약계층을 위한 회복 및 복귀 프로그램을 운영하는‘단비누리’의 2개 업체가 선정되었다.
선정된 사업은 기존사업 800만원과 신규사업 500만원의 사업비가 각각 지원되며, 오는 12월까지 약 7개월간 사업을 수행한 후 성과발표회를 통해 최종 성과를 공유하게 된다.
국립암센터 양한광 원장은 “이번 사업 공모를 통해 암경험자들의 ▲사회복귀 ▲자립 활동 ▲사회적 가치 실현의 목표를 설정하고 달성하는 계기가 되기를 희망하며, 나아가 암경험자의 삶의 질을 높이고 암경험자의 돌봄 및 자립 생태계를 조성하는 촉매가 될 수 있기를 기대한다.”고 밝혔다.
한편, 본 사업과 관련한 문의는 국립암센터 공공의료사업팀 (031-920-0463 / 0549) 또는 이메일(phj229@ncc.re.kr)로 가능하다.
국립암센터, 2025년 ‘암경험자 창업가 간담회’ 개최
- 암경험자 자립활동 활성화 및 사회복귀 지원 위한 실질적 논의 이뤄져 -

국립암센터는 6월 26일(수) 14시, 경기도 고양시 경의중앙선 백마역 1층에 위치한 리본(ReːBorn)센터에서 '2025년 암경험자 창업가 간담회'를 개최했다고 밝혔다.
이번 간담회는 암을 경험한 창업가, 창업예정자, 관련 사회적경제 조직 및 국립암센터 관계자 등 총 20명이 참석한 가운데 진행되었으며, 암환자의 사회복귀와 자립을 위한 지원 방안 및 제도 개선 사항을 모색하고자 마련되었다.
참석자는 ▲사회적협동조합 다시시작 ▲모카상점 ▲라우라픽 ▲소셜벤처 ㈜윤슬케어 ▲공감 사회적협동조합 ▲사회적기업 ㈜ 박피디와 황배우 ▲캔드림협동조합 ▲사회적기업 ㈜ 담심포
▲암히어로 ▲단비누리로 총 10개 창업기업 대표자들 및 국립암센터 양한광 원장 외 7명이다.
간담회는 유금혜 공공보건의료사업단장의 개회사와 양한광 국립암센터 원장의 환영사로 시작되었으며, 이후 참가 기업들의 창업 동기와 사업 내용, 세부계획에 대한 발표 및 자유 토의 순으로 이어졌다. 특히 토의에서는 암경험자의 창업 분야에서의 주요 현안이 심도있게 논의되었다.
이번 간담회에서는 ▲암경험자의 법적 취약계층 인정 및 제도적 보완 ▲암경험자 창업가 간 정보공유 및 네트워크 플랫폼 구축 ▲암경험자 사회적협동조합의 안정적 운영 방안 지원
▲암환자 등 커뮤니티를 위한 인프라(공간 등) 필요 및 접근성 개선 ▲국립암센터와 암경험자
사회적경제조직 간의 수평적 파트너십 확대 등의 다양한 의제가 다뤄졌다.
국립암센터 양한광 원장은 "암경험자 창업가는 신체적,심리적, 경제적으로 복합적인 지원이 필요한 대상으로 국립암센터는 체계적 시스템 구축과 제도 개선 등을 통해 구직, 창업 과정에서의 실질적인 지원과 사회복귀 기반을 강화하겠다"며 "앞으로도 국립암센터는 공공보건의료기관으로서 암경험자의 자립과 고용 확대를 위한 정책적 기반 조성과 협력 체계 구축에 앞장서겠다.”고 밝혔다.
‘세계 금연의 날’ 맞아, 국내 최초 병원 주변 금연구역 지정
- 고양시 조례로 국립암센터 주변 금연구역 선포 -

국립암센터는 지난 5월 30일(금), ‘제38회 세계 금연의 날’을 맞아 일산동구보건소(소장 홍효명)와 함께 국립암센터 병원 주변 금연구역 지정 선포식을 개최했다고 밝혔다.
국립암센터는 암환자가 치료받고 있는 병원 주변을 금연구역으로 지정해 줄 것을 오랫동안 고양시에 요청해왔으며, 최근 일산동구보건소의 적극적인 협조로 국립암센터 병원 주변이 금연구역으로 지정됐다.
이는 학교나 유치원 주변은 금연구역으로 지정되어 있지만, 병원 주변 전체를 금연구역으로 지정한 것은 국내 최초 사례로 파악된다. 일산동구보건소는 금연 구역 지정에 앞서 주변 지역주민을 대상으로 한 설문조사를 대대적으로 실시하였으며, 그 결과 92% 이상의 찬성을 얻어 지역사회의 공감과 지지를 확인했다.
이날 국립암센터와 일산동구보건소는 ▲금연구역 지정 선포식 ▲금연 홍보 피켓 캠페인 ▲국립암센터 주변 담배꽁초 줍기 등을 진행하면서, 금연구역의 정착을 기원하고 시민들의 인식을 높이기 위한 캠페인 활동을 펼쳤다.
국립암센터 양한광 원장은 “암환자에게 금연은 생명을 지키는 중요한 선택이며, 병원 주변 금연구역 지정은 환자 보호와 지역사회 건강을 위한 의미 있는 변화”라고 강조했다. 이어 “담배는 암을 포함한 주요 만성질환의 원인인 만큼, 국립암센터는 앞으로도 금연 문화 확산과 간접흡연 피해 방지를 위한 다양한 활동을 지속해 나갈 것”이라고 밝혔다.
일산동구 홍효명 보건소장은 “지역사회의 적극적인 협조와 노력을 통해 국립암센터 주변을 금연구역으로 지정하게 되어 기쁘다”며 “환자와 보호자뿐만 아니라 청소년과 미래 세대를 담배 연기로부터 보호하기 위한 지속적인 사회적 노력이 필요하다”고 강조했다.
대한금연학회 김현숙 회장은“최근 세계보건기구(WHO)가 발표한 국가별 금연정책 이행율에서, 한국은 담배 연기 노출로부터 국민을 보호하는 수준이 낮은것으로 평가되었다”며, “현재 유치원·어린이집, 학교 시설 경계 30m 이내는 금연구역으로 지정되어있지만, 병원 주변 역시 담배 연기로부터 보호받아야 할 환자들이 왕래하는 곳으로 금연구역으로 확대가 필요하다. 그런 점에서 국립암센터의 병원 주변의 금연구역 지정은 상당히 의미가 있고, 전국 병원으로 확산될 수 있는 단초가 될 것이다”고 하였다.
한편, 국립암센터는 보건복지부 지정 경기북부금연지원센터를 운영하고 있으며, 2000년 5월부터 국내 최초로 국립암센터 전체를 금연 구역으로 지정하고, 전문치료형 금연캠프, 찾아가는 금연지원서비스를 제공하며 지역사회 금연 문화 확산에 앞장서고 있다.
국립암센터, “세계 금연의 날 ” 기념식에서 보건복지부 장관 표창 수상
- 경기북부금연지원센터 운영 성과 인정… 금연정책 선도기관으로 자리매김 -

국립암센터는 지난 5월 29일(목) 보건복지부 주최로 열린 ‘제38회 세계 금연의 날 기념식’에서 국립암센터 경기북부금연지원센터가 보건복지부 장관 표창을 수상했다고 밝혔다.
국립암센터는 2015년 보건복지부로부터 ‘경기북부금연지원센터’로 지정받은 이후, 전문치료형 금연캠프를 운영하고, 찾아가는 금연지원서비스를 제공하며 암 예방과 국민 건강 증진을 위한 금연정책을 선도해 오고 있다.
세계 금연의 날은 세계보건기구(WHO)가 담배로부터 인류의 건강을 보호하기 위해 제정한 날로, 매년 전 세계적으로 다양한 금연 캠페인과 정책 성과가 공유되는 의미 있는 행사다. 이번 기념식은 국내 금연 사업·정책 추진에 기여한 유공자 및 기관을 격려하고, 사회 전반의 금연 문화를 확산하기 위해 개최되었다.
국립암센터 경기북부금연지원센터는 지난해 취약계층을 대상으로 찾아가는 금연지원서비스, 중증고도흡연자 대상 숙박형(4박 5일) 금연캠프 운영 등에서 전국 최고 수준의 금연성공율을 달성했다. 또한, 지역사회와 협력한 금연 캠페인 및 금연문화 조성 사업을 전개하여 우수한 성과를 거두며 이번 장관 표창을 수상하게 되었다. 이는 국립암센터가 암예방을 위한 금연정책을 선도하고, 금연지원사업에 적극적인 노력을 해온 공로를 인정받은 결과이기도 하다.
김열 국립암센터 경기북부금연지원센터장은 “이번 수상은 센터를 중심으로 함께 노력해준 모든 직원, 상담사, 지역사회 파트너들의 결실”이라며 “앞으로도 담배 없는 건강한 사회를 만들기 위해 전문성과 책임감을 갖고 금연지원사업을 지속하겠다”고 소감을 전했다.
국립암센터, '경기북부 학교금연 리더십 워크숍’ 개최
- 청소년 신종담배 확산 대응 위한 학교 리더 역량 강화 -

국립암센터는 지난 5월 14일(화), 국가암예방검진동 8층 대강의실에서 ‘경기북부 학교금연 리더십 워크숍’을 개최했다고 밝혔다.
이번 워크숍은 국립암센터 경기북부금연지원센터(센터장 김열) 주관으로 ‘학교 흡연예방 관리를 위한 변화와 도전’이라는 주제로 진행되었으며, 최근 청소년들의 신종담배 사용 증가에 따른 학교 흡연예방 교육에 새로운 문제가 대두되고 있는 가운데, 학교 현장에서 중심적인 역할을 하는 교장·교감 및 교육지원청 담당자 등 리더들의 인식을 제고하고, 실천적인 대응 역량을 강화하기 위해 마련됐다.
국립암센터의 양한광 원장은 “교육현장에서 점심시간마다 선생님들께서 학생들의 흡연을 막기 위해 화장실을 지킨다는 말씀을 듣고 큰 충격을 받았다.”며 “최근 등장한 신종담배의 형태와 접근 방식이 점점 다양해지며 청소년들에게 더 교묘하게 접근하고 있어 이러한 문제 해결을 위해 학교와 사회의 역할이 더욱 중요해졌다. 국립암센터는 청소년들의 건강을 지키기 위해 앞장서고 있는 교육 현장의 리더들과 함께 암예방을 위한 금연 지원에 최선을 다하겠다”고 밝혔다.
김열 경기북부금연지원센터장은 “이번 워크숍은 단순한 교육을 넘어 학교 리더들과의 실질적인 협력의 장”이라며, “정보 공유를 넘어 새로운 해법을 모색하고, 실천 가능한 변화의 출발점이 될 것”이라고 말했다.
이번 워크숍에서는 경기북부 중·고등학교 교장과 교감, 12개 교육지원청 관계자 등 교육 현장의 리더들이 참여하였으며 ▲청소년 대상 신종담배 마케팅과 위험성 ▲청소년 흡연 실태와 학교 흡연예방 교육 ▲학교 흡연예방 교육의 정책방향과 전략 ▲학교 흡연예방 관리의 실제 사례 등 다양한 발표가 진행됐다. 특히 신종담배의 마케팅 방법과 이에 대응하기 위한 학교 흡연예방 교육의 효과적인 전략 및 학교 현장에서의 사례 발표는 참석자들의 높은 관심과 호응을 이끌어냈다.
경기북부금연지원센터는 이번 워크숍을 계기로, 향후 지역사회 및 교육기관과의 협력을 더욱 강화하고, 청소년 흡연 예방을 위한 다각적인 정책과 프로그램을 지속적으로 추진할 예정이다.
한편, 국립암센터 경기북부금연지원센터는 2015년부터 경기북부금연지원센터로 지정받아 전문치료형 금연캠프를 운영하고, 찾아가는 금연지원서비스를 제공하며 지역사회 금연사업에 앞장서고 있다.
국립암센터 ‘경기북부 청소년 흡연예방 담당교사 교육’ 개최,
담배 마케팅·무인점포 실태·상담 전략부터 현장 사례까지 총망라

국립암센터는 지난 7월 9일(수), 국가암예방검진동 8층 국제회의장에서 ‘2025년 경기북부 청소년 흡연예방 담당교사 교육’을 개최했다.
이번 교육은 국립암센터 경기북부금연지원센터가 주관했으며, 경기북부 소재 초·중·고등학교 흡연예방 담당교사들을 대상으로 청소년 흡연 예방을 위한 방안을 모색하고 학교 현장의 대응 역량을 강화하기 위해 마련됐다.
온·오프라인 병행 방식으로 약 400여 명의 교사가 참여하여 높은 관심을 받았으며, 교육은 두 개의 세션으로 나뉘어 진행되었다. 첫 번째 주제발표 세션에서는 각 분야별 전문가들이 △「담배 마케팅으로부터 청소년 보호」 △「학교 앞 담배 무인점포 실태」 △「흡연 청소년 상담, 어떻게 할 것인가?」등 청소년을 겨냥한 상업적 유해 환경과 실질적인 상담 전략에 대한 심층적인 논의를 이어갔다.
이어진 사례발표 세션에서는 현장에서 직접 실천한 우수 사례들이 소개되었으며, 6명의 발표를 통해 생생한 현장의 목소리와 다양한 실천 경험이 공유되었다. △「에듀테크를 활용한 흡연예방교육」발표에서는 디지털 기술을 접목한 교육 콘텐츠 활용법이 공유되었으며, △「학교 밖 현장에서의 흡연예방관리 및 상담 연계」발표에서는 지역사회와 연계한 흡연예방 관리의 필요성과 효과성이 강조되었다. 마지막으로, △「흡연예방 교육 의지 향상 및 협력 체계 구축」에서는 교사 간 협력과 자발적인 실천 분위기 조성을 위한 노력이 조명되며, 학교 현장의 역할이 다시 한번 부각되었다.
양한광 국립암센터 원장은 “청소년을 유해 환경으로부터 보호하는 일은 학교만의 몫이 아닌 모두의 책무”라며, “이번 교육을 통해 학교가 그 예방의 최전선에 서 있다는 점을 재확인했고, 이를 지원하기 위한 실질적인 정책과 연계 체계를 더욱 강화해 나가겠다”고 밝혔다.
이번 교육을 주관한 김열 국립암센터 경기북부금연지원센터장은 “이번 교육이 흡연예방 담당교사들에게 흡연예방에 대한 최신 정보와 실천 노하우를 공유하는 의미 있는 시간이 되었기를 바란다”며, “ 앞으로도 보다 체계적이고 지속 가능한 예방 교육을 통해 담당 교사들의 역량이 한층 강화되기를 기대한다”고 말했다.
한편 국립암센터 경기북부금연지원센터는 2015년 경기북부금연지원센터로 지정된 이후, 전문치료형 금연캠프를 운영하고, 찾아가는 금연지원서비스를 제공하며 지역사회 내 금연사업에 앞장서고 있다.




